Beranda
/ Latihan Soal Aljabar Kelas 7 - Soal Dan Jawaban Ayo Berlatih 3 4 Aljabar Matematika Kelas 7 Halaman 231 232 M4thguru - Berilah tanda silang (x) huruf a,b,c, atau d pada jawaban yang paling benar !
Latihan Soal Aljabar Kelas 7 - Soal Dan Jawaban Ayo Berlatih 3 4 Aljabar Matematika Kelas 7 Halaman 231 232 M4thguru - Berilah tanda silang (x) huruf a,b,c, atau d pada jawaban yang paling benar !
Latihan Soal Aljabar Kelas 7 - Soal Dan Jawaban Ayo Berlatih 3 4 Aljabar Matematika Kelas 7 Halaman 231 232 M4thguru - Berilah tanda silang (x) huruf a,b,c, atau d pada jawaban yang paling benar !. Soal aljabar kelas 7 smp dan kunci jawaban. Remedial dan pengayaan soal aljabar kelas vii. Yuk kita coba kerjakan bersama! Semoga bisa dijadikan referensi untuk belajar. Bentuk aljabar dari pulpen dan pensil yang dimiliki aulia adalah.
Semoga bisa dijadikan referensi untuk belajar. Untuk mendapatkan soal lebih lengkap, silahkan cek pada link download dibawah. Jika aulia diberi 5 pensil oleh ibu, sedangkan 7 pulpen ia berikan kepada citra. Itu tadi contoh soal latihan aljabar kelas 7. Ayo kita berlatih 3 3 buku matematika kelas 7 kurikulum 2013 hal.
Soal Aljabar Smp Kelas 8 Download from i.pinimg.com Share on facebook tweet on twitter plus on google. Aulia mempunyai 15 pulpen dan 12 pensil. Semoga bisa dijadikan referensi untuk belajar. 2𝑥 2 − 2𝑥 − 4 c. Www.bukusoal.com situs tentang kumpulan soal sd, smp, sma, cpns dapat di download gratis sepenuhnya milik anda. Contoh soal matematika aljabar kelas 7 beserta jawabannya. Untuk kelas 7 dan pembahasannya. Pengerjaan hitung bentuk aljabar kelas 7 / semester 1 i.
25 contoh soal aljabar kelas 7 smp dan kunci jawabnya terbaru hai adik adik pada kesempatan kali ini kakak ingin berbagi beberapa contoh soal latihan untuk mata pelajaran matematika pembahasan aljabar bagi adik adik dikelas 7 smp soal ini sudah kakak susun dalam bentuk pilihan ganda dan essaya dengan jumlah yang lumanya banyak yaitu 25 soal yang siap membantu adik adik dalam mengerjakan.
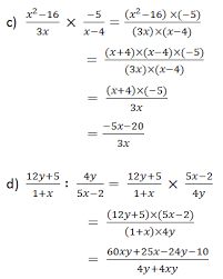
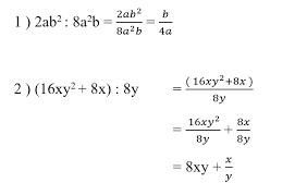
Aljabar kelas 7 kurikulum 2013. Latiah soal aljabar smp kelas 7 pdf. Lengkap 25 contoh soal aljabar kelas 7 smp dan kunci jawabnya. Berikut ini diberikan contoh contoh soal tentang aljabar lengkap dengan pembahasannya. Remedial dan pengayaan soal aljabar kelas vii. Latihan soal ulangan aljabar kelas 7. Tentukan banyaknya suku dan derajat pada setiap 27. Berilah tanda silang (x) huruf a,b,c, atau d pada jawaban yang paling benar ! Contoh soal aljabar kelas 7 dan pembahasannya, aljabar kelas 7 … berikut ini contoh soal aljabar soal matematika kelas 7 smp mts lengkap. Mts negeri 2 pemalang kelas vii semester 1 25 contoh soal aljabar kelas 7 smp dan kunci jawabnya terbaru hai adik adik pada kesempatan kali ini kakak ingin berbagi beberapa contoh soal latihan untuk mata pelajaran matematika pembahasan aljabar bagi adik adik dikelas 7 smp soal ini sudah kakak susun dalam bentuk pilihan ganda dan essaya dengan jumlah yang lumanya banyak yaitu 25 soal yang siap membantu adik adik dalam mengerjakan. Plsv dan ptlsv kelas vii. Matematika kelas 7 ayo kita berlatih 3 1 hal 206 no 7 10 brainly.
2𝑥 2 + 2𝑥 + 4 d. Soal matematika aljabar kelas 8 helmi kediris. Remedial dan pengayaan soal aljabar kelas vii. Share on facebook tweet on twitter plus on google. Berikut ini adalah rincian soal latihan matematika kelas 7 smp/mts.
Ejercicio De Latihan Soal Aljabar from files.liveworksheets.com Latihan soal pjok kelas 7 bab 7. Soal uh mtk smp kelas 7 bab operasi hitung bentuk aljabar semester 1 (1).pdf. Soal dilengkapi kunci jawaban dan pembahasan mendetail. Soal aljabar ini terdiri dari 25 butir soal pilihan ganda. Kumpulan latihan soal matematika kali ini akan menyajikan beberapa soal latihan dan jawaban aljabar. Semoga bisa dijadikan referensi untuk belajar. Soal matematika aljabar kelas 8 helmi kediris. Contoh soal aljabar kelas 7 smp plus jawaban dan pembahasan juragan les.
Berikut ini diberikan contoh contoh soal tentang aljabar lengkap dengan pembahasannya.
Soal matematika aljabar kelas 8 helmi kediris. Soal perbandingan peta/denah dengan daerah sebenarnya kelas 7 dan pembahasannya. Mts negeri 2 pemalang kelas vii semester 1 Latihan soal matematika aljabar smp kelas 7. Soal dan kunci jawaban aljabar kelas 7. Ayo kita berlatih 3 1 no 1 5 mat kelas 7 bab 3 bentuk aljabar. Untuk kelas 7 dan pembahasannya. Jika aulia diberi 5 pensil oleh ibu, sedangkan 7 pulpen ia berikan kepada citra. Latiah soal aljabar smp kelas 7 pdf. Semoga bisa dijadikan referensi untuk belajar. Bentuk aljabar dari pulpen dan pensil yang dimiliki aulia adalah. Www.pinterest.com latihan soal aritmatika sosial kelas 7 september 15 2020 march 22 2021 mataoker artikel mataoker kali ini akan membahas tentang latihan soal dan pembahasan aritmatika sosial matematika kelas 7. Berilah tanda silang (x) huruf a,b,c, atau d pada jawaban yang paling benar !
Semoga bisa dijadikan referensi untuk belajar. August 2 may 13 march 4 february 9 soal osk matematika sma tahun 2018 download ayo kita berlatih 81 mtk kelas 7 k13 semester gen. Latiah soal aljabar smp kelas 7 pdf. Doc latihan soal matematika aljabar smp kelas 7 nuarisachacha imana academia edu. Pengertian limit dalam ilmu matematika.
Operasi Aljabar Penjumlahan Pengurangan Perkalian Pembagian Perpangkatan from pendidikanmu.com Pdf soal matematika kelas 7 smp mts kurikulum 2013 pdf zaenal. Soal dilengkapi kunci jawaban dan pembahasan mendetail. Doc latihan soal matematika aljabar smp kelas 7 nuarisachacha imana academia edu. Semoga bisa dijadikan referensi untuk belajar. Latiah soal aljabar smp kelas 7 pdf. Soal dan kunci jawaban aljabar kelas 7. Aulia mempunyai 15 pulpen dan 12 pensil. Lengkap 25 contoh soal aljabar kelas 7 smp dan kunci jawabnya.
Untuk mendapatkan soal lebih lengkap, silahkan cek pada link download dibawah.
Bentuk aljabar dari pulpen dan pensil yang dimiliki aulia adalah. Soal aljabar ini terdiri dari 25 butir soal pilihan ganda. Lengkap 25 contoh soal aljabar kelas 7 smp dan kunci jawabnya. Itu tadi contoh soal latihan aljabar kelas 7. August 2 may 13 march 4 february 9 soal osk matematika sma tahun 2018 download ayo kita berlatih 81 mtk kelas 7 k13 semester gen. Matematika kelas 7 ayo kita berlatih 3 1 hal 206 no 7 10 brainly. Pdf soal matematika kelas 7 smp mts kurikulum 2013 pdf zaenal. Nah sekarang kita akan berlatih contoh soal aljabar. Di artikel ini hanya tersedia beberapa soal latihan dan jawaban saja, jika ingin mendownload soal latihan aljabar secara lengkap, bisa menggunakan link di akhir artikel ini. Aljabar kelas 7 kurikulum 2013. Soal matematika aljabar kelas 8 helmi kediris. Soal uh mtk smp kelas 7 bab operasi hitung bentuk aljabar semester 1 (1).pdf. Remedial dan pengayaan soal aljabar kelas vii.
Berbagi
Posting Komentar
untuk "Latihan Soal Aljabar Kelas 7 - Soal Dan Jawaban Ayo Berlatih 3 4 Aljabar Matematika Kelas 7 Halaman 231 232 M4thguru - Berilah tanda silang (x) huruf a,b,c, atau d pada jawaban yang paling benar !"
Posting Komentar untuk "Latihan Soal Aljabar Kelas 7 - Soal Dan Jawaban Ayo Berlatih 3 4 Aljabar Matematika Kelas 7 Halaman 231 232 M4thguru - Berilah tanda silang (x) huruf a,b,c, atau d pada jawaban yang paling benar !"